Hochschule Kempten      
Fakultät Elektrotechnik      
Interface Electronics       Fachgebiet Elektronik, Prof. Vollrath      

Interface Electronics

Web Report Lab03

***936, S

***139, R



Overview

Summary from Laboratory training one to three.

File Structure


HTML5 Icon
Given folder structure for the html web report.

RC Circuit

Circuit of the RC filter.

We simulated a simple RC filter in LTSPICE. With the simple RC Filter we tested each option in LTSPICE.
There are 4 different options to simulate a circuit:
".tran" is the transient simulation. Here we have to set the stop time, the time step and time to saving data.
".ac" is the as analysis. Here we set the start, the stop frequency and the sweep type.
".op" is for the DC operation point of a circuit.
LTSPICE supports three other simulation commands. But we just focused on this three types.

For the hand calculation of the cut off frequency we use the following formula:
fc = 1/(2*Pi*R*C)

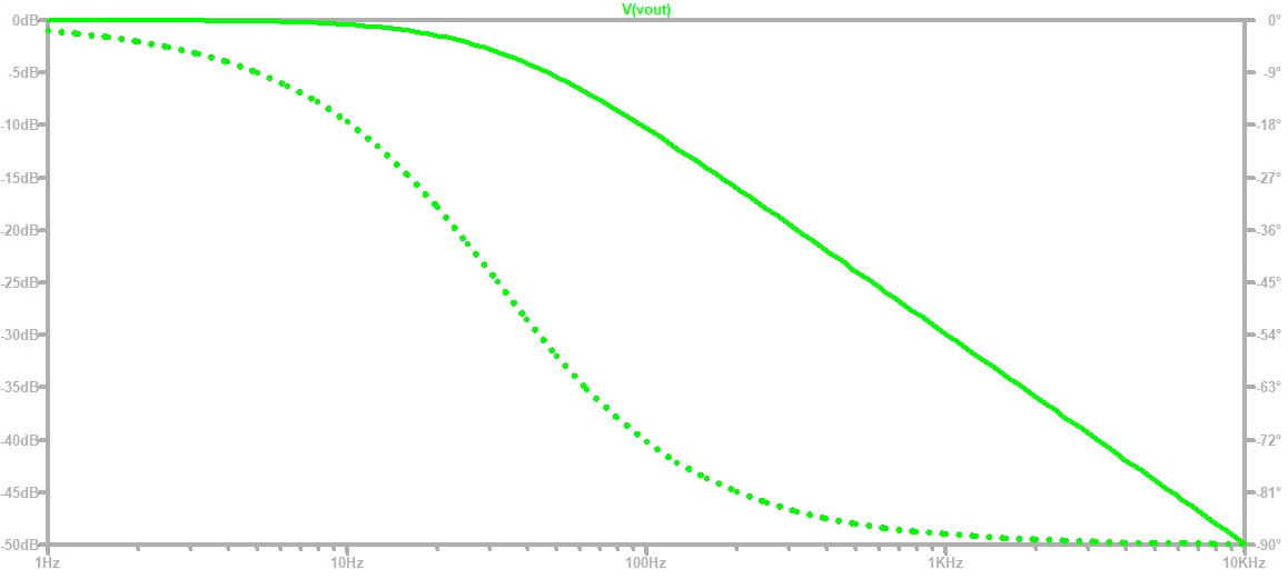
Transfer Curve of the RC Filter

From the transfer curve we could extract the 3dB cut off frequency.
The frequency we extracted from the curve was matching with our hand calculation.
As we are simulating an ideal ADC and DAC there is no deviation between each step.
HTML5 Icon

ADC_DAC Pipe

DP Chart of the ADC_DAC Pipe.

We used this schematic for the simulation of an ADC_DAC pipe.
The following slides are explaining all our simulations more in detail.

Since the javascript tool has problems with loading LTSPICE
Symbols in LTSPICE schematics here is only a screenshot used.
HTML5 Icon

Ramp Simulation.

The picture beside shows the result of out ramp simulation with the ADC_DAC_Pipe.
With a ramp as input signal we are able to extract the switching voltage between each bit.

As we are simulating an ideal ADC and DAC there is no deviation between each step.
HTML5 Icon

Sine Simulation.

The picture beside shows our result of the sine simulation with the ADC_DAC_Pipe.
The sine signal is much better to test an ADC or a DAC in real live,
but it makes much more effort in analysing the result.


HTML5 Icon

INL DNL Chart of the ADC_DAC Pipe.

INL and DNL simulation with Javascript tool from Website
For this simulation a Ramp was used as input signal.

Calculation of the DNL:
DNL = (V(n) - V(n-1) - LSB) / LSB


Calculation of the INL:
INL = (Vreal(n) - Videal(n)) / LSB
HTML5 Icon

INL DNL Chart of the ADC_DAC Pipe.

INL and DNL simulation with Javascript tool from Website
For this simulation a Sine was used as input signal.

Here the calculation of the DNL and the INL is done with the histogram calculation.
With a sine signal a direct calculation is not possible.
Out of the sine signal our result is not a linear curve.
HTML5 Icon

FFT of the ADC_DAC Pipe.


The noise in the FFT is very high. This is due to the SNR of the only 4Bit ADC.
This ADC/DAC kombination has only a very low Signal to Noise Ratio.
If we would increase the number of Bits, the SNR would be much higher
and we would be able to see clearly the frequency of the original Signal.
In the image beside we could imagine the frequency of the original Signal.
HTML5 Icon

R2R Circuit

Circuit of the R2R Circuit.

For the simulations of this circuit the ideal values of 2 resistors is changed.
Therefore an error in the transfer curve occures.
Thus, the difference between ideal and real transfer curve can be explained.




HTML5 Icon

Transfer curves of the R2R DAC

Ramp test simulation with LTSPICE.
In this figure you can see the error due to the change in resistance.
HTML5 Icon

Sine test simulation with LTSPICE.

The same error as in the ramp test can be seen here.
In the middle of the wave is a bigger step than it should be.
HTML5 Icon

INL and DNL with ramp

Ramp test simulation with INL and DNL calculated by the provided Javascript program.
The INL and DNL errors are due to the change of the resistance.
This simulates the real behaviour of a DAC, because in reality the resistances are
not exactly the nominal value.
HTML5 Icon

Sine test simulation

Sine test simulation with extracted data and histogram calculated by the provided
Javascript program.
HTML5 Icon

Summary

Due to some problems in the first to lab-trainings we went out of time to achieve the goals. Unfortunately it was not possible to regain the lost time in the coming lab-trainings. We also spend most of the time solving problems at home for the lab-report. Overall it took us about 20 hours to gain the results mentioned above. But the learning factor is much higher, if you have to solve a problem yourself. It was also interesting to see how some internal simulated errors have influence on the DNL and INL.