Ein Halbleiter ist entsprechend dem Bild mit 3 · 1018 cm-3 Bor
und 1 · 1017 cm-3 Phosphor dotiert.
1.1. Zeichnen Sie das elektrische Schaltbild der Diode und markieren Sie die
n- und p-dotierten Gebiete.
1.2. Wie groß ist die Elektronen- und Löcherdichte bei Störstellenerschöpfung
in den dotierten Gebieten (ni=1.5 · 1010 cm-3)?
1.3. Wie groß ist der elektrische Widerstand des 3 µm langen n Gebietes.
Der Querschnitt beträgt A = 2 µm2.
1.4. Berechnen Sie die Sperrschichtweite bei einer Sperrspannung von 0.5 V.
μn= 800 cm2V-1s-1,
μp= 80 cm2V-1s-1,
εH = εSi · ε0
= 11.8 · 8.85 · 10-14 Fcm-1,
e = 1.6 · 10-19 C; kT/e = 0.025 V;
ni = 1.5 · 1010cm-3
(R = 1.17 kΩ, UD = 0.87 V, ds = 0.136 µm )
Variation:
Man möchte einen Widerstand realisieren.
Welche Geometrie (Länge, Breite, Tiefe) muss der bei gegebener Dotierung haben?
Welche Dotierung ist bei gegebener Geometrie nötig?
Eine Raumladungszone darf eine gewisse Länge nicht überschreiten (Durchbruch).
Bei welcher Spannung ist diese Länge erreicht?
Welche Dotierung ist notwendig, dass bei einer Sperrspannung diese Länge nicht überschritten wird.
Datenwandler und Operationsverstärker
Gegeben: Ein 14-Bit DAC mit einer Referenzspannung von 5 V soll eine Sinusspannung von +-10 V bis zu
einer maximalen Frequenz von 20kHz (Bandbreite) erzeugen. Die Versorgungsspannung des
Operationsverstärkers ist Vp = +12V und Vm = -12V.
Geben sie das relative und absolute LSB des DAC an.
Wie groß ist das absolute LSB bei einer Ausgangsspannung von +- 10V.
Welches SNR hat dieser DAC?
R1 = 10kΩ und R3 = 100kΩ Bestimmen Sie R2 und R4 so,
dass die gewünschte Ausgangsamplitude von 10V erreicht wird.
Bestimmen Sie C1 für die gewünschte Bandbreite.
Wie groß darf die Eingangsoffsetspannung des Operationsverstärkers sein,
ohne das Ausgangssignal zu stören?
Wie groß dürfen Störsignale am Eingang des Operationsverstärkers bei 2 MHz sein
ohne das Ausgangssignal zu stören?
3. SNR = (6.02 NBit + 1.76) dB = 86.04 dB
4. Operationsverstärkerbeschaltung
Herleitung der Formel für die Ausgangsspannung mit Hilfsspannung Vx am positiven
und negativen Eingang des Operationsverstärkers.
(1) \( \frac{Vp}{R3 + R4} = \frac{Vx}{R4} \)
(2) \( \frac{Vout-Vx}{R1} = - \frac{Vout1-Vx}{R2} \)
Einsetzen von Vx von (1) in (2)
(3) \( \frac{Vout}{R1} - \frac{Vp R4}{(R3+R4)R1}
= - \frac{Vout1}{R2} + \frac{Vp R4}{R2 (R3+R4)} \)
(4) \( Vout1 = R2 \cdot \left( - \frac{Vout}{R1} + \frac{Vp R4}{R3+R4} \frac{R1 + R2}{R1 \cdot R2}\right) \)
Vout1max = 10 V
Vout1min = -10 V
Voutmin = 0 V
(5) \( Vout1max = \frac{Vp R4}{R1} \frac{R1 + R2}{R3+R4} \)
Voutmax = 5 V
(6) \( Vout1min = R2 \cdot \left( - \frac{Vout}{R1} + \frac{Vp R4}{R1 \cdot R2} \frac{R1 + R2}{R3+R4}\right) \)
Einsetzen von (5) in (6)
(7) \( Vout1min = R2 \cdot \left( - \frac{Vout}{R1} + \frac{1}{R2} Vout1max\right) \)
Gesucht R2, R4
\( Vout1min = - Vout \frac{R2}{R1} + Vout1max \)
\( R2 = \frac{Vout1max - Vout1min}{Vout} R1 = \frac{10 V - (-10 V)}{5 V} 10 k\Omega
= 40 k \Omega \)
Unformen von (5) nach R4
\( Vout1max \left( R3 + R4 \right) = \frac{Vp R4}{R1} \left(R1 + R2\right) \)
\( R4 \left( Vout1max - \frac{Vp}{R1} \left(R1 + R2 \right)\right) = - Vout1max \cdot R3 \)
\( R4 = \frac{Vout1max \cdot R3}{ \frac{Vp}{R1} \left(R1 + R2 \right) - Vout1max} \)
\( R4 = \frac{10 V \cdot 100 k\Omega}{\frac{12 V}{10 k\Omega} \left(10 k\Omega + 40 k \Omega \right) - 10 V}
= 20 k\Omega \)
5. Übertragungsfunktion AC
\( f_{3dB} = \frac{1}{2 \pi R2 C1}\)
\( C1 = \frac{1}{2 \pi R2 f_{3dB}} = 199 pF\)
6. Eingangsoffsetspannung Operationsverstärker
VoffsetOp < 0.5 LSBabs = 152.5 µV
7. Maximalspannung von 2 MHz Signalen
Annahme: Operationsverstärker GBW > vu f3dB
Der Operationsverstärker hat noch genügend Verstärkung.
R2C1 Glied hat eine Dämpfung von -20dB/dek.
Vsignal = 100 * VoffsetOp = 15.25 mV
Rauschen
Der Strom einer Stromquelle wird mit einem Operationsverstärker in eine
Ausgangsspannung bei einer Temperatur von T = 60°C verstärkt.
Die Stromquelle hat einen Innenwiderstand von R2 = 400 kΩ.
Der Operationsverstärker hat eine Eingangsstromrauschen von \( i_{eop} = 3 \frac{pA}{\sqrt{Hz}} \).
Die Bandbreite des Operationsverstärkers beträgt 1 MHz.
R1 = 1 MΩ
(k = 1.38 · 10-23 J/K)
Bestimmen sie die Ausgangsspannung bei einem Photostrom I1 = 20 nA.
Berechnen Sie den Beitrag der einzelnen Rauschquellen am Ausgang.
Wie groß ist die äquivalente Ausgangsrauschspannungsquelle?
Welchen peak to peak Wert der Ausgangsrauschspannung erwarten Sie?
Wie groß ist die äquivalente Eingangsrauschspannungsquelle?
Wie groß ist die äquivalente Eingangsrauschstromquelle?
Gegeben ist folgende digitale Transistorschaltung erstellen Sie die Wahrheitstabelle.
Zeichnen Sie das Zeitverhalten von V(Y) in das Diagramm ein.
C
B
A
Y
0
0
0
1
0
0
1
1
0
1
0
1
0
1
1
0
1
0
0
1
1
0
1
1
1
1
0
0
1
1
1
0
AOI Schaltung
Gegeben: Eine digitale CMOS Schaltung
Zeitabhängige Eingangssignale
Verzögerungszeit
Gesucht:
Wahrheitstabelle
Zeitverhalten
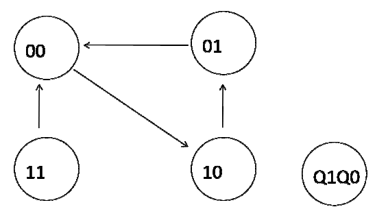
Digitaltechnik, Zustandsmaschine
Bestimmen Sie die logischen Gleichungen:
Q0n+1=
Q1n+1=
Erstellen Sie die Zustandstabelle
Zeichnen Sie das Zustandsdiagramm.
Q1n
Q0n
Q1n+1
Q0n+1
0
0
1
0
0
1
0
0
1
0
0
1
1
1
0
0
Schaltplan
Zustandstabelle
Gesucht:
Zustandstabelle
Zustandsdiagramm
Verdrahtung
Entweder ein Schaltplan ist gegeben oder eine Zustandstabelle
Spannungsversorgung
Es soll ein Buckkonverter entworfen werden der eine Eingangsspannung von Vin = 12 V auf Vout = 9 V regelt.
Die Last benötigt einen Strom von 300 mA. Der Spulenminimalstrom soll mindestens
halb so gross sein wie der Laststrom. Der Schaltregler wird mit einer Frequenz von 250 kHz betrieben.
Die Ausgangsspannung soll eine maximale Welligkeit von 100mV haben.
1. Bestimmen Sie den Dutycycle für einen CCM Betrieb.
2. Bestimmen Sie die Induktivität für den CCM Betrieb.
3. Dimensionieren Sie die Kapazität C2 für die Welligkeit
4. Wie gross ist der mittlere Eingangsstrom?
5. Skizzieren Sie den Stromverlauf durch die Spule I(L1) und den Widerstand I(RL)?
Lösung:
1. Bestimmen Sie den Dutycycle für einen CCM Betrieb.
D = Ua/Ue = 12 V / 9 V = 0.75
2. Bestimmen Sie die Induktivität für den CCM Betrieb.
Iamin = 0.5 · 1/L (Ue-Ua) · tein > 0
tein = Ua * T / Ue = 9 V * 4 us / 12 V = 3 us
L = 0.5 · 1/Iamin (Ue-Ua) · tein
L = 0.5 · 1/150mA (12 V - 9 V) · 3 us
L = 0.03 mH
3. Dimensionieren Sie die Kapazität C2 für eine Welligkeit der Ausgangsspannung von 100 mV
C = T · Iamin / (4 · dUa) = 4 us · 150 mA / 4 / 100 mV
= 1.5 uF
4. Wie gross ist der mittlere Eingangsstrom?
Keine Verluste: Pein = Paus
Iein = Uaus * Iaus / Uein = 9 V * 300 mA /12 V = 0.9/4 = 225 mA
5. Skizzieren Sie den Stromverlauf durch die Spule I(L1) und den Widerstand I(RL)?