Hochschule Kempten      
Fakultät Elektrotechnik      
Grundlagen der Elektrotechnik 2       Fachgebiet Elektronik, Prof. Vollrath      

+    Share page with QR-code
1 / 4
Wechselspannung und komplexe Rechnung
2 / 4
Grundzweipole
3 / 4
Frequenzverhalten
4 / 4
Der Transformator

-   Übersicht Grundlagen der Elektrotechnik 2


Prof. Dr.-Ing. Jörg Vollrath

Dies ist eine Vorlesung mit 4 SWS. 27 Vorlesungen a 90 Minuten.

Grundlagen Elektrotechnik 2 (56 WS)

  • 1,2 Wechselgrößen (4 WS, 21 + 20)
  • 3,5 Sinusförmige Wechselgrößen (2 WS)
    • Zeigerdarstellung, komplexe Darstellung
  • 4 SPICE (2 WS)
  • 6 Linear Zweipole an Sinusspannungen (2 WS)
  • 7 Ersatzquellen (2 WS)
  • 8 Leistung (2 WS)
  • Grundzweipole an Sinusspannungen
  • 12, 13 Resonanz, Schwingkreise (4 WS)
  • 14 Leistungsanpassung (2 WS)
  • 15 Netze bei unterschiedlichen Frequenzen (2 WS)
    • 16 Ortskurve (2 WS)
      Aufgabe Ortskurve
    • 17, 18 Übertragungsfunktion, Frequenzgang, Bode-Diagramm (4 WS)
  • 19 Vierpole (2 WS)
  • 20, 21, 22 Filternetze (6 WS)
  • 23 Äquivalente und Duale Netze (2 WS)
  • 24, 25 Transformator (4 WS)
  • 26 Brückenschaltungen (2 WS)
  • 27 Drehstrom (2 WS)

-   Vorlesung Grundlagen der Elektrotechnik 2


17.03.2025

01. Wechselgrößen

Anwendungen: Ton, Generator, Oszilloskop
Kenngrößen: Periodizität, Frequenz f, Periodendauer T, Amplitude \( \hat{u} \)
\( f = \frac{1}{T} \)

18.03.2025

02a. Wechselgrößen

Gleichwert, Effektivwert, Leistung
\( \overline{u} = \frac{1}{T} \int_0^T u(t) dt \)   \( U = \sqrt{\frac{1}{T} \int_0^T u^2(t) dt} \) Geradengleichung
\( y = a x + b = \frac{y_2 - y_1}{x_2 - x_1} (x - x_1) + y_1 \)

19.03.2025

02b. Wechselgrößen

Mischgrößen, Kenngrößen Geradengleichung, Integralrechnung
Numerische Integration (Excel, C, JavaScript)
\( \int_{0}^{T} f(t) dt = \frac{T}{n} \sum_{i=1}^{n} y_i (t_i) \)
Video:
Buch:

24.03.2025

03a. Sinusförmige Wechselgrößen

Laborgeräte, Formel, Kreisfrequenz ω
\( U(t) = \hat{u} sin(\omega t + \phi) \)
\( \omega = 2 \pi f \)
Formfaktor, Gleichrichtwert
Leiterschleife, Rechtecksignal
Buch:
25.03.2025

03b. Sinusförmige Wechselgrößen

Gleichwert, Gleichrichtwert, Effektivwert
\( \overline{u} = 0 \)   \( \overline{|u(t)|} = \frac{2 \hat{u}}{\pi} \)   \( U = \frac{\hat{u}}{\sqrt{2}} = 0.7 \hat{u} \)

26.03.2025

04. SPICE


LTSPICE Schaltungssimulation
Video:
Buch:


31.03.2025

05. Komplexe Darstellung

Zeigerdarstellung
\( \underline{U} = U cos(\phi) + j U sin(\phi) = U e^{j \phi} \)
R-Form und P-Form
Video:
Buch:
1.04.2025

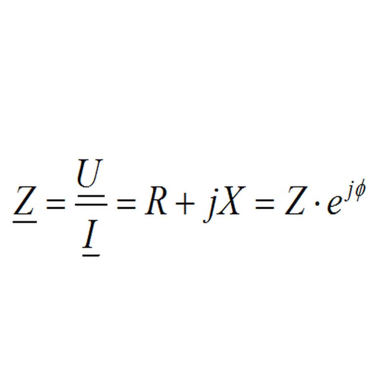
06. Komplexe Lineare Zweipole

Wirkwiderstand, Blindwiderstand
\( \underline{Z} = \frac{\underline{U}}{\underline{I}} = R + jX = Z \cdot e^{j\phi} \)
Buch:
02.04.2025 Übung 1: Effektivwert, LTSPICE

7.04.2025

07. Ersatzquellen

Leerlaufspannung, Kurzschlußstrom, Innenwiderstand
\( \underline{U}_L = \underline{I}_K \cdot \underline{Z}_i \)
Video:
Buch:
8.04.2025

08. Leistung

\( \underline{S} = \underline{U} \cdot \underline{I}^* = P + j Q\)
Video:
Buch:
Start: Versuch P1 Zylinderspule

14.04.2025

09. Kapazität und Induktivität

Differentialgleichung
\( C = \frac{I dt}{d U} \)   \( U = L \frac{dI}{dt} \)
Komplexer Widerstand und Leitwert
\( \underline{Z}_C = \frac{1}{j \omega C} = \frac{1}{\underline{Y}_C}\)   \( \underline{Z}_L = j \omega L \)
15.04.2025

10. Reihenschaltung

Summe der komplexen Widerstände
\( \underline{Z} = \sum{\underline{Z}_i} \)
16.04.2025 Übung 2: Leistung, Quelle und Last
Stromgleichung des Spannungsteilers
\( \underline{I} = \frac{\underline{U}_1}{\underline{Z}_1} = \frac{\underline{U}}{\underline{Z}} \)
22.04.2025

11. Parallel

Summe der komplexen Leitwerte
\( \underline{Y} = \sum{\underline{Y}_i} = G + j B \)

Video:
Buch:
28.04.2025

12. Resonanz

\( Im\{\underline{Z}\} = 0 \)
Spannungsüberhöhung
\( K_U = \frac{U_C (w_r)}{U (w_r)} = \frac{U_L (w_r)}{U (w_r)} \)
Video:
Buch:
29.04.2025

13. Schwingkreis

Der Imaginärteil des gesamten komplexen Widerstands oder Leitwertes ist Null
30.04.2025 Übung 3
Video:
Start Versuch P2: Wechselstromschaltungen
5.05.2025

14. Leistungsanpassung

Ri = RL, Xi = ±XL
\( P_{max} = \frac{U_q^2}{4 \cdot R_i} \)
30.04.2025 Übung 3: Komplexer Widerstand, Resonanz
Video:
6.05.2025

15. Unterschiedliche Frequenzen

Der frequenzabhängie normierte Widerstand
\( \underline{z}(\Omega) = \frac{\underline{z}(\omega)}{R_{Bez}} \) Normierung: RBezug, \( \omega_{Bez} = \frac{\omega}{\Omega} \)
12.05.2025

16. Ortskurven

Grafische Darstellung des Widerstandes
\( Re\{\underline{Z} (j\omega) \}, Im\{\underline{Z} (j\omega) \} \)
LTSPICE: AC Analyse, y-Achsen Skalierung Nyquist plot

13.05.2025

17. Smith Chart

S-Parameter Analyzer, Moebiustransformation, Übertragungssysteme
\( \underline{W} (\underline{z}) = \frac{\underline{z}}{1 + \underline{z}} \)
Start Versuch P3: Oszilloskop
Video:
Buch:
20.05.2024

18. Bodediagramm (1)

\( \underline{T} (j \omega) = \frac{\underline{U}_2 (j \omega)}{\underline{U}_1 (j \omega)} = K \frac{(j\omega - S_{N1})... } {(j\omega - S_{P1})...}\)
Ein Frequenzabhängiges Verhältnis von Spannung (Strom) wird untersucht.
Das Maß Dezibel: \( A(j \omega ) = 20 log | \underline{T} (j\omega)| \)
21.05.2024 Übung 4: Komplexer Widerstand, Ortskurve, Bodediagramm
26.05.2024

18. Bodediagramm (2)

\( \underline{T} (j \omega) = \frac{\underline{U}_2 (j \omega)}{\underline{U}_1 (j \omega)} = K \frac{(j\omega - S_{N1})... } {(j\omega - S_{P1})...}\)
27.05.2025

19. Vierpole

Eine Schaltung kann aus Vierpolen bestehen, die mit Matrizen beschrieben werden.
\( \underline{Z}_{ij} = \left. \frac{\underline{U}_{i}}{\underline{I}_{j}} \right\vert_{\underline{I}_{!j} = 0} \)

2.06.2025

23. Transformator

Übertragungsverhältnis ü und Widerstandstransformation:
\( ü = \frac{U_1}{U_2} = \frac{N_1}{N_2} \)   \( \underline{Z}_1 = ü^2 \underline{Z}_2 \)
\( M^2 = L_1 L_2 \)   \( k = \frac{M}{\sqrt{L_1 L_2}} \)
3.06.2025

24. Transformator

Hauptinduktivität, Streuinduktivität, Eisenverluste
Ersatzschaltbilder, Leerlauf- und Kurzschlussmessung
4.06.2025 Übung 5: Bodediagramm
Start Versuch 4: 5.6.2025 Transformator

16.06.2025

20. Filter

Grenzfrequenz oder Eckfrequenz
Ordnungszahl
Video:
Buch:

17.06.2025

21. Hochpass, Tiefpass

\( \underline{T}_H = \frac{j\omega}{j\omega - S_{P1}} \)   \( \underline{T}_L = \frac{1}{j\omega - S_{P1}} \)
High pass, low pass

Video:
Buch:
23.06.2025

22. Bandpass, Bandsperre

Bandpass: 1 Nullstelle, 2 Pole
Bandsperre: 2 Nullstellen, 2 Pole
Güte
Video:
Buch:
24.06.2025

25. Drehstrom

Strangspannung (Sternspannung):
3 Phasen, dφ = 120°
Aussenleiterspannung: \( \underline{U}_{12} = \sqrt{3} U \underline{/30°} \)
Symmetrische Betrachtung
Drehstromgenerator, BLDC Motor
25.06.2025 Übung 6:
30.06.2025, 1.7.2025

26. Brückenschaltung

Video:
Buch:
1.7.2025

27. Testklausur

Wechselgrößen, Gleichwert, Effektivwert
Quellenumwandlung, komplexe Leistung
Komplexer Widerstand, Resonanz, Spannungsüberhöhung, Ortskurve
Übertragungsfunktion, Filter
Bodediagramm, Filter

-   Übung Grundlagen der Elektrotechnik 2


Link: Übung mit LTSPICE Simulationen als Lösungshilfe


-   Breadboard Demos und LTSPICE Simulations

Breadboard Demos

Allzwecklabor ADALM2000, EEBench, Digilent Discovery 02 Gleichwert und Effektivwert
Wechselspannungsmessung Dynamotaschenlampe 01 Wechselgrößen
Lautsprecherweiche 01 Wechselgrößen
U, I von R, L und C 09 Kapazitäten und Induktivitäten
Schwingkreis Demo und Simulation 12 Resonanz
Übertragungsfunktion Demo und Simulation 18 Bode Diagram
Tiefpass Demo und Simulation 20 Filter
Reihenschwingkreis Demo und Simulation 22 Bandpass
Drehstrom am Drohnen BLDC Motor 25 Drehstrom

LTSPICE Simulations

Übertragungsfunktion (AC) einer RLCR Schaltung 01 Wechselgrößen
Start LTSPICE mit einem Spannungsteiler SPICE
Messung der Übertragungsfunktion einer Induktivität
Lautsprecher
SPICE
Ersatzquelle 07 Ersatzquellen
Test Ersatzquelle 07 Ersatzquellen
Test Ersatzquelle und Leistung 07 Ersatzquellen
Test Ersatzquelle 10 Reihenschaltung
Induktivitätsmessung Rechnung 10 Reihenschaltung
Test komplexer Widerstand 11 Parallelschaltung
Parallelschaltung 11 Parallelschaltung
Parallelschaltung 11 Parallelschaltung
Widerstandstransformation und Resonanz 13 Schwingkreis
Mehrere Resonanzfrequenzen 13 Schwingkreis
Ersatzquelle für mehrere Quellen 14 Leistungsanpassung
Widerstandsfunktion 15 Frequenzen
Ortskurve 15 Frequenzen
Test Ortskurve 16 Ortskurven
Li-Ion Akku Ortskurve 16 Ortskurven
Bode Diagram LR 18 Bode Diagram
Bode Diagram RRC 18 Bode Diagram
Bode Diagram CRRL 18 Bode Diagram
Hochpass 21 Hochpass und Tiefpass
RC Verstärker 21 Hochpass und Tiefpass
Elementarer Bandpass 22 Bandpass
Bandsperre und Bandpass 22 Bandpass
Bandsperre 22 Bandpass
Tiefpass 2ter Ordnung 22 Bandpass
Active Filter 22 Bandpass
ESB Transformator 23 Transformator
SPICE Transformator 24 Transformator

References


Grundlagen Elektrotechnik, Hochschule Karlsruhe